2006-(I)-Critical Behavior and Crossover Effects in the Properties of Binary and Ternary Mixtures and Verification of the Dynamic Scaling Conception

Nature comprises a multitude of critical phenomena. Spontaneous symmetry breaking at the origin of the universe and gravitation collapse are spectacular examples. Critical phenomena occur at phase transitions. Theories of phase transitions use methods of catastrophe theory and also of theory of percolation which currently attract considerable attention. In order to understand critical phenomena, investigations of liquid-liquid phase transitions in binary and ternary mixtures are very instructive. Especially the understanding of the phase behavior and the critical phenomena in ternary mixtures, biophysics and membrane physics have attracted attention during the last years . The essential and most amazing feature of critical phenomena was the discovery of critical point universality indicating that the microscopic structure of fluids becomes unimportant in the vicinity of the critical point. The understanding of such phenomena is also of great importance for chemistry and chemical engineering in procedures like liquid and solid extraction, drying, absorption, distillation and many other chemical reaction processes, as well as for biology in operations like fermentation, biological filtration and syntheses. Moreover, theories of critical phenomena are substantial for many innovative applications such as supercritical extraction, enhanced oil recovery and supercritical pollution oxidation. The importance of the understanding and application of critical phenomena is demonstrated by the recently (08.28.07) provided studies performed in the International Space Station (ISS).
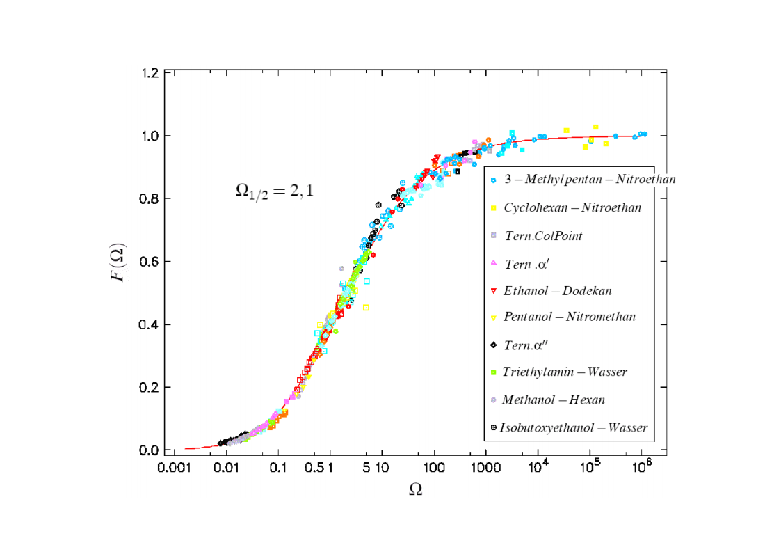
The focus of those investigations were the critical phenomena, in particular the critical slowing down of the phase separation near the critical point of binary colloid-polymer mixtures in a micro gravity environment. The aim of such investigations was to develop fundamental physical concepts previously which had so far been masked by gravity effects. A first qualitative description of the critical behavior of some special systems was already given at the beginning of last century. Examples are liquid/gas transition and the ferro/paramagnetism transition. An essential step towards a deeper understanding of critical behavior was made by Landau’s general theory of phase transitions. Later the theory has been further developed by Onsager, which found the exact solution for the thermodynamic properties of a two-dimensional Ising model, that had been frequently discussed. It was a great surprise to find the theory of Landau to fail completely in predicting the behavior close to the critical point. Fisher, played a leading role by his analysis of experimental data, combining theoretical analysis and numerical calculations. Important theoretical contributions have been made by Widom, Patashinskii and Pokrovski, and most important by Kadanoff. Kadanoff put forward a very important new and original idea which seemed to have a strong influence on the later development of the field. However, his theory did not allow to calculate the critical behavior. The problem was solved in a comprehensive and profound way by Wilson. Wilson was the first to realize that critical phenomena are different from most other phenomena in physics in that close to the critical point one has to deal with fluctuations over widely different scales of length. Nevertheless, investigations which have been performed on critical system have indicated the description of their behavior is not sufficient for a wide temperature range. The range between the background and mean-field behavior could not be described satisfactorily by classic theories of critical phenomena. Consequently, a new formalism has been developed by Albright, Burstyn, Sengers, Bhattacharjee and Ferrell, to describe the range between the consolute point and background behavior. This formalism is named crossover theory.The ideas of universality appear to be also applicable to phase transitions in complex fluids like polymers and polymer solutions, micro-emulsions and liquid crystals, fluids in porous media as well as phospholipid bilayer vesicle solutions. Besides dynamic light scattering an important measurement method to study the cooperative effects in complex fluids is the broad band ultrasonic spectroscopy. Being a non-destructive technique it allows for the measurement of chemical relaxations as well as critical fluctuations. During the past decades various theories have been developed to treat the critical slowing down of the critical ultrasonic attenuation in binary liquids within the framework of the dynamic scaling theory. The most prominent examples of the dynamic scaling theory have been presented by Bhattacharjee and Ferrell. Folk and Moser developed a renormalization group theory of the mode-coupling model and Onuki derived a model from an intuitive description of the bulk viscosity near the critical point. The verification, with the aid of dynamic light scattering and shear viscosity measurements as well as with broad band ultrasonic measurements, of the validity of these dynamic scaling functions of various critical mixtures was one of the aims of the present thesis. Essential quantities are the characteristic relaxation time Γ, the fluctuations correlation length ξ, the mutual diffusion coefficient D, as well as the reduced half-attenuation frequency Ω1/2 , the adiabatic coupling constant g, and the critical amplitude S of the ultrasonic attenuation spectra. Also considered was the coupling between the critical contributions and the noncritical relaxations due to chemical processes, as well as the predictions by Procaccia et al., on the critical slowing of those chemical reactions which might occur when a system is approaching its critical demixing point. An additional emphasis of studies of binary mixtures was the verification of the before mentioned crossover theory, with cut-off wave numbers qc and qD as substantial parameters. Investigations on ternary mixtures with different compositions along the plait line were performed to determine the validity of the dynamic scaling hypothesis, especially the dependence of critical quantities on the concentration of the additional third component. With the ternary mixtures special attention has been paid to the crossover behavior, which had been first considered for binary systems.
National Aeronautics and Space Administration (NASA) Expeditions Assigned. Previous studies on critical systems in micro gravity environment have been performed on in 1997 and 1998 on MIR, Source: http://www.nasa.gov.


























