2004-(I)-Ultrasonic techniques - Pulse-modulated traveling wave methods

Article Index

Pulse-modulated traveling wave methods:

At frequencies above 3 MHz the distortion of resonator curves by higher order modes may be so strong that the separation of the satellite peaks from the main resonance curve becomes impossible. However, the simple proportionality, given by the expression:

allows to measure quasi-directly the sound attenuation coefficient α. Pulse-modulated measurement are performed at the transducer fundamental frequency and its odd overtones which follow the (2n + 1) ·f T -law. The shiftable receiver, as shown in Fig.(3.10), at the position X 1 detects the acoustical signal and transfers this into an alternating voltage U_R( X_1). At the position X_2   the alternating voltage U_R  (X_2) is received. Hence, the attenuation coefficient α follows as:

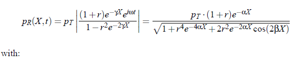
Pulse  modulation  of  the  sound  wave  avoids  overlaps  between  the  original  signal  and multiply reflected signals as well as the electrical crosstalk. At small transducer spacing, so-called  acoustic  delay  lines  (fused  quartz)  are  used  for  pulse  separation. The  pressure amplitude p_ R  of the sound wave (taking into account multiple reflections) can be expressed as: 

Print